全国服务热线:
13862189898
网站首页
┆
关于弈博
┆
公司简介
产品中心
┆
医药中间体系列
农药中间体系列
甾体中间体系列
产品研发
┆
研发设施
质量保证
┆
企业风貌
┆
联系我们
┆
首页
>
产品中心
>
医药中间体系列
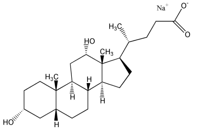
去氧胆酸纳
英文名称
Sodium deoxycholate
CAS NO.
302-95-4
分子式
C
24
H
39
O
4
Na
分子量
416.58
结构式
外 观
白色结晶粉末
纯 度
98%
包 装
纸板桶25KG
账号登录
注册账号
|
忘记密码
社交账号登录